728x90
    
    
  반응형
    
    
    
  

| Rank : 19 , 점수: 125 , 출제수: 5문제 , 논술 : 5문제 , 약술: 0문제 | 
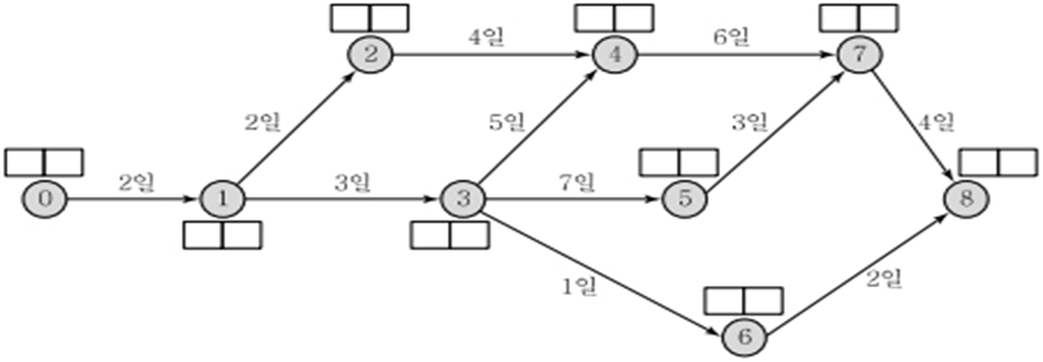
| 1 | 19-118-4-6 | 아래 그림에서 주 공정(Critical Path) 및 총소요일을 구하시오.(단, 그림의 Path 위의 숫자는 | 
| 해당 공정의 소요일이다.) | ||
|  | 
| 주 공정(Critical Path)은 ⓪ → ① → ③ → ④ → ⑦ → ⑧이며, 총소요일은 | 
| 20일이다. | 

| 2 | 15-106-4-5 | 프로젝트 관리와 관련한 다음 각 물음에 답하시오. | 
| (1) 프로젝트관리의 전략적 의미에 대하여 설명하시오. | ||
| (2) 프로젝트의 관리절차에 대하여 설명하시오. | ||
| (3) 프로젝트 일정관리기법에 대하여 설명하시오. | 
| 문) | 프로젝트 관리와 관련한 다음 각 물음에 답하시오. | ||
| (1) 프로젝트관리의 전략적 의미에 대하여 설명하시오. | |||
| (2) 프로젝트의 관리절차에 대하여 설명하시오. | |||
| (3) 프로젝트 일정관리기법에 대하여 설명하시오. | |||
| (1) | 프로젝트 관리의 전략적 의미 | ||
| 1. | 프로젝트(Project)는 명확히 정의된 목표를 가지고 오직 한 번만 수행되는 유한 | ||
| 한 활동들의 집합으로, 오늘날 사업 활동의 대부분은 급속한 상황변화에 적절 | |||
| 히 대응해 나가려는 개별적인 프로젝트의 형태를 취하고 있다. | |||
| 따라서 효율적인 프로젝트 관리는 조직의 주 성공 요인이 되고 있다. | |||
| 2. | 프로젝트 관리(Project Management)는 주어진 예산으로 프로젝트의 목적이 | ||
| 적시에 달성되도록하기 위한 프로젝트의 계획 및 통제 활동을 말한다. | |||
| (2) | 프로젝트의 관리절차 | ||
| 1. 계획(Planning) | |||
| 1) 프로젝트의 고객 확인 | |||
| 2) 최종 제품 또는 서비스 결정 | |||
| 3) 프로젝트의 목적 설정 | |||
| 4) 총소요 자원 및 시간 추산 | |||
| 5) 프로젝트 조직의 결정 | |||
| 6) 프로젝트 관리자(PM) 등 중요 인력 임명 | |||
| 7) 요구되는 중요 과업 정의 | |||
| 8) 프로젝트 예산 수립 | |||
| 2. 일정계획(Scheduling) | |||
| 1) 상세한 프로젝트 활동 파악 | |||
| 2) 각 활동에 소요되는 시간의 추정 | |||
| 3) 활동 간의 선후관계 파악 | |||
| 4) 각 활동의 시작 및 완료시간 결정 | |||
| 5) 각 활동에 대한 상세 예산 수립 | |||
| 6) 인력을 활동에 배치 | |||
| 3. 통제(Control) | |||
| 1) 실제 시간, 비용 및 성과 감시 | |||
| 2) 계획치와 실제치의 비교 | |||
| 3) 시정조치의 필요 여부 결정 | |||
| 4) 시정조치의 대안 평가 | |||
| 5) 적절한 시정조치 실시 | |||
| (3) | 프로젝트의 일정관리 기법 | ||
| 1. | 간트 도표(Gantt Charts) | ||
| 일정계획 및 통제를 위한 시각적인 도구로, 수평축에는 일자를 순서대로 | |||
| 기입하고, 수직방향으로는 활동목록을 기록하여, 각 활동이 수행되어야 할 | |||
| 기간을 활동 시작일자부터 예상 완료일까지 수평막대로 표시한 도표 | |||
| 2. | PERT(Program Evaluation and Review Technique)/CPM(Critical Path Method) | ||
| 활동 상호간의 연관성을 고려하면서 프로젝트를 기획하고 관리하며 통제할 수 | |||
| 있는 매우 유용한 네트워크 모형의 관리기법 | |||
| 3 | 14-103-4-4 | 아래의 프로젝트 관리표는 활동별 시간, 비용 및 추가비용을 적용하기 위한 예이다. 다음 각 | 
| 물음에 답하시오. | ||
|  | ||
| (1) 정상시간 기준의 PERT Network(AOA)도를 작성하여 총 정상비용과 정상작업일수 및 | ||
| CP(Critical Path, 주공정)를 구하시오. | ||
| (2) 이 프로젝트의 일정을 최대한 단축하고자 한다. 그때의 최단작업일수와 소요비용을 구하고, | ||
| 이때의 CP를 나타내시오. | 
| (1) 정상시간 기준의 PERT Network(AOA)도를 작성하여 총 정상비용과 정상 | |||
| 작업일수 및 CP(Critical Path, 주공정)를 구하시오. | |||
| (2) 이 프로젝트의 일정을 최대한 단축하고자 한다. 그때의 최단작업일수와 | |||
| 소요비용을 구하고, 이때의 CP를 나타내시오. | |||
|  | |||
| 총 정상비용은 35,000달러이며, 정상작업일수는 66일이다. | |||
| (작업에 따른 선행활동에 대한 언급이 없어 풀이가 원활하지 못한 오류가 | |||
| 있다) | |||
| (2) | 최대한 52일로 단축이 가능하며, 3,950달러의 추가비용이 발생한다. | 
| 4 | 13-100-3-1 | A회사의 프로젝트 활동 네트워크가 그림과 같을 때 다음 각 물음에 답하시오. | 
| [단, 활동시간은 각각 낙관치, 정상치(최빈시간), 비관치 순으로 나열하였다.] | ||
|  | 
(1) Critical Path와 기대완료시간을 구하시오.
(2) 해당 프로젝트를 24일 만에 끝낼 수 있는 확률을 구하고, 설명하시오.
| (1) Critical Path와 기대완료시간을 구하시오. | |||
| (2) 해당 프로젝트를 24일 만에 끝낼 수 있는 확률을 구하고, 설명하시오. | |||
|  | |||
| (1) | 주 경로(Critical Path):① → ② → ③ → ⑤ → ⑥ | ||
| 기대완료시간:4+5+6+9=24일 | |||
| 단순열거법에 의한 주 경로 찾기 | |||
| ① → ② → ④ → ⑥ :4+7+9=20 | |||
| ① → ② → ④ → ⑤ → ⑥ :4+7+9=20 | |||
| ① → ② → ③ → ⑤ → ⑥ :4+5+6+9=24 | |||
| ① → ③ → ⑤ → ⑥ :6+6+9=21 | |||
| (2) |  | ||
| z=0을 표준정규분포표에서 구하면 0.5+0=0.5이다 | |||
| 따라서 해당 프로젝트를 24일 만에 끝낼 확률은 50%이다. | 
| 5 | 12-97-3-6 | 프로젝트 관리에 대한 다음 각 물음에 답하시오. | 
| (1) 일반적인 프로젝트 산업의 특징 3가지를 제시하시오. | ||
| (2) 최적화를 위한 프로젝트 관리의 목표로 제시되는 3가지 요소를 제시하시오. | ||
| (3) S기업은 사업 확대 전략으로 새로운 입지로 공장을 이전하려 한다. 각 활동에 대한 기대과 | ||
| 선행활동은 표와 같다. 이 프로젝트에 대해 AOA(Activity on Arrow(또는 Arc)) | ||
| 네트워크를 작성하고, 주공정과 기대완료시간을 구하시오. | ||
|  | 
| (1) | 프로젝트 산업의 특징 3가지 | ||
| 1. | 프로젝트 산업은 빌딩, 댐, 교량, 고속도로 등의 건설공사, 특수한 대형제품의 | ||
| 제작, 영화나 예술품의 제작 등과 같이 어떤 주요 산출물 한 단위를 상당한 | |||
| 기간에 걸쳐 생산하는 산업을 말한다. | |||
| 2. | 일반적으로 프로젝트 산업은 비반복적이고 1회적인 성격을 가진다. 프로젝트 | ||
| 는 한 번으로 끝나므로 자동화가 어려우며, 노동력을 절감하기 위해 일반적 | 
| 으로 범용설비가 사용된다. | |||
| 3. | 프로젝트 산업은 생산소요시간이 길고, 대규모 자본과 자원이 투자되며, 고객 | ||
| 주문에 따라 단일품목만을 생산하기 때문에 생산량은 적고, 고객화는 높은 | |||
| 특성을 가진다. 또한 고객의 주문을 미리 알 수 없기 때문에 제품을 미리 | |||
| 만들어 둘 수 없어 표준화가 낮다. | |||
| (2) | 1. | 정의 | |
| PERT는 프로젝트를 효과적으로 수행할 수 있도록 네트워크를 이용하여, 프로 | |||
| 젝트를 일정·노동·비용·자금 등에 관련시켜 합리적으로 계획하고 관리하는 | |||
| 기법이며, CPM은 공기의 단축이 요구될 때 주 공정상의 어느 작업을 단축해 | |||
| 야 하며 작업자나 설비를 초과 투입할 필요가 있는 경우 최소비용 증가로 | |||
| 공사기간을 단축하려는 기법이다. | |||
| 2. | 3가지요소 | ||
| 1) 일정계획 | |||
| 2) 일정통제 | |||
| 3) 비용최소화 | |||
| 3. | 기대효과 | ||
| 1) 업무수행에 따른 문제점을 사전에 예측할 수 있어 이에 대한 조처를 사전에 | |||
| 취할 수 있다. | 
| 2) 요소작업 상호 간에 유기적인 연관성이 명확해짐으로써 작업배분 및 진도 | |||
| 관리를 보다 정확히 할 수 있다. | |||
| 3) 계획·자원·일정·비용 등에 대하여 간결·명료하게 의사소통이 가능하다. | |||
| 4) 최적계획안의 선택이 가능하며자원배분에 있어 효과를미리 예측할 수 | |||
| 있으므로 한정된 자원을 효율적으로 사용할 수 있다. | |||
| 5) 최저의 비용으로 공정단축이 가능하다. | |||
| 6) 주공정(Critical Path)에 관한 정보 제공으로 시간적으로 여유 있는 작업과 | |||
| 여유 없는 작업을 구별할 수 있어 중점적 일정관리가 가능하다. | 

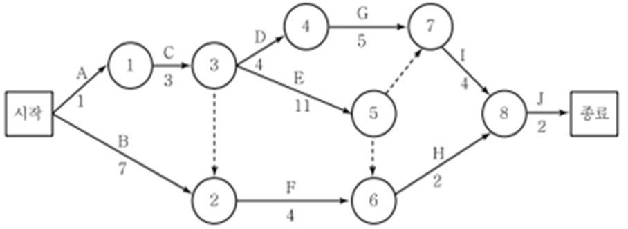
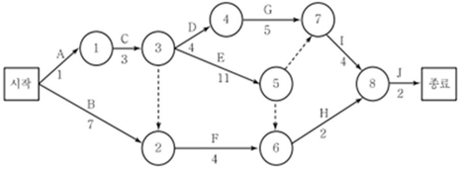
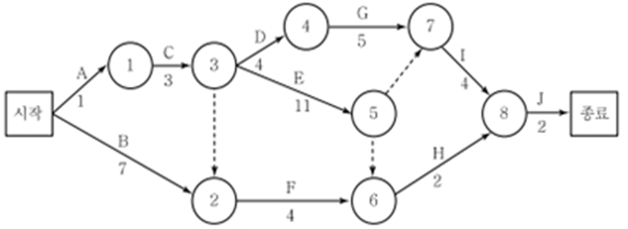
| ※ 단순열거법에 의해 주공정 산출 | 
| Ⓐ → Ⓒ → Ⓓ → Ⓖ → Ⓘ → Ⓙ:1+3+4+5+4+2=19일 | 
| Ⓐ → Ⓒ → Ⓔ → Ⓘ → Ⓙ:1+3+11+4+2=21일 (주공정) | 
| Ⓐ → Ⓒ → Ⓔ → Ⓗ → Ⓙ:1+3+11+2+2=19일 | 
| Ⓐ → Ⓒ → Ⓕ → Ⓗ → Ⓙ:1+3+4+2+2=12일 | 
| Ⓑ → Ⓕ → Ⓗ → Ⓙ:7+4+2+2=15일 | 
728x90
    
    
  반응형
    
    
    
  '글쓰기' 카테고리의 다른 글
| 공장관리기술사 기출 서브노트 -"14. (총괄)생산계획" (0) | 2024.12.21 | 
|---|---|
| 공장관리기술사 기출 서브노트 -"9. 시설/설비 배치" (0) | 2024.12.21 | 
| 공장관리기술사 기출 서브노트 -"5. 원가관리" (2) | 2024.12.08 | 
| 공장관리기술사 기출 서브노트 -"4. 서비스전략/관리" (4) | 2024.12.03 | 
| 공장관리기술사 기출 서브노트 -"13. 수요예측" (1) | 2024.11.27 | 
 
                    
                   
                    
                   
                    
                  